电脑桌面
添加雲尚書房到电脑桌面
安装后可以在桌面快捷访问

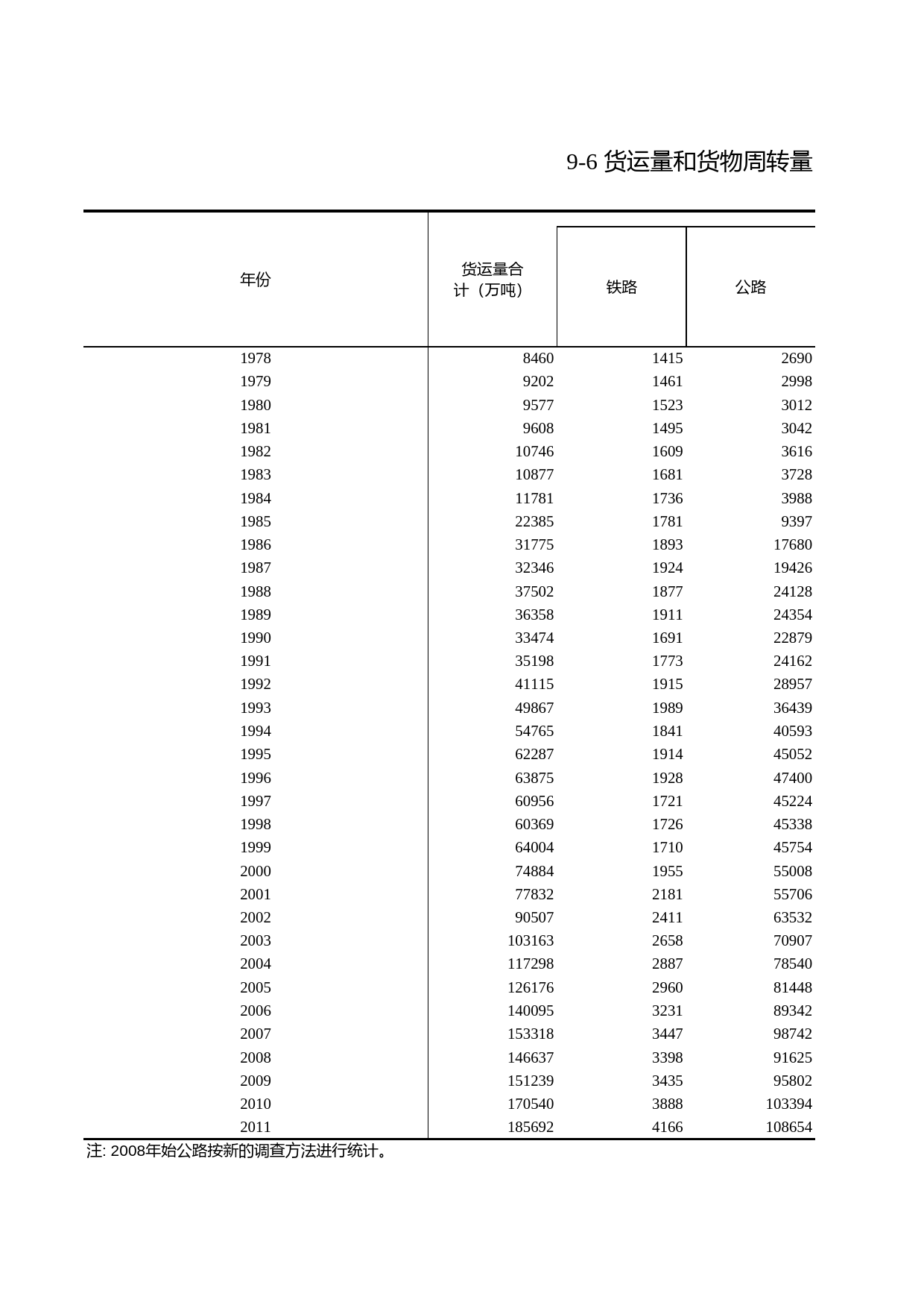
浙江统计年鉴2012年 9-6 货运量和货物周转量(1978-2011年)

浙江统计年鉴2012年 9-6 货运量和货物周转量(1978-2011年)_第1页
1/2
浙江统计年鉴2012年 9-6 货运量和货物周转量(1978-2011年)_第2页
2/2
年份铁路公路19788460141526901979920214612998198095771523301219819608149530421982107461609361619831087716813728198411781173639881985223851781939719863177518931768019873234619241942619883750218772412...

1、当您付费下载文档后,您只拥有了使用权限,并不意味着购买了版权,文档只能用于自身使用,不得用于其他商业用途(如 [转卖]进行直接盈利或[编辑后售卖]进行间接盈利)。
2、本站所有内容均由合作方或网友上传,本站不对文档的完整性、权威性及其观点立场正确性做任何保证或承诺!文档内容仅供研究参考,付费前请自行鉴别。
3、如文档内容存在违规,或者侵犯商业秘密、侵犯著作权等,请点击“违规举报”。

碎片内容

浙江统计年鉴2012年 9-6 货运量和货物周转量(1978-2011年)

蚂蚁书院+ 关注
实名认证
内容提供者

蚂蚁书院就像一群辛勤工作的小蚂蚁一样,竭力为广大朋友们提供需要的资料养分。

确认删除?
回到顶部