电脑桌面
添加雲尚書房到电脑桌面
安装后可以在桌面快捷访问

公开募集证券投资基金销售机构名录(2023年9月)

公开募集证券投资基金销售机构名录(2023年9月)_第1页
1/11
公开募集证券投资基金销售机构名录(2023年9月)_第2页
2/11
公开募集证券投资基金销售机构名录(2023年9月)_第3页
3/11
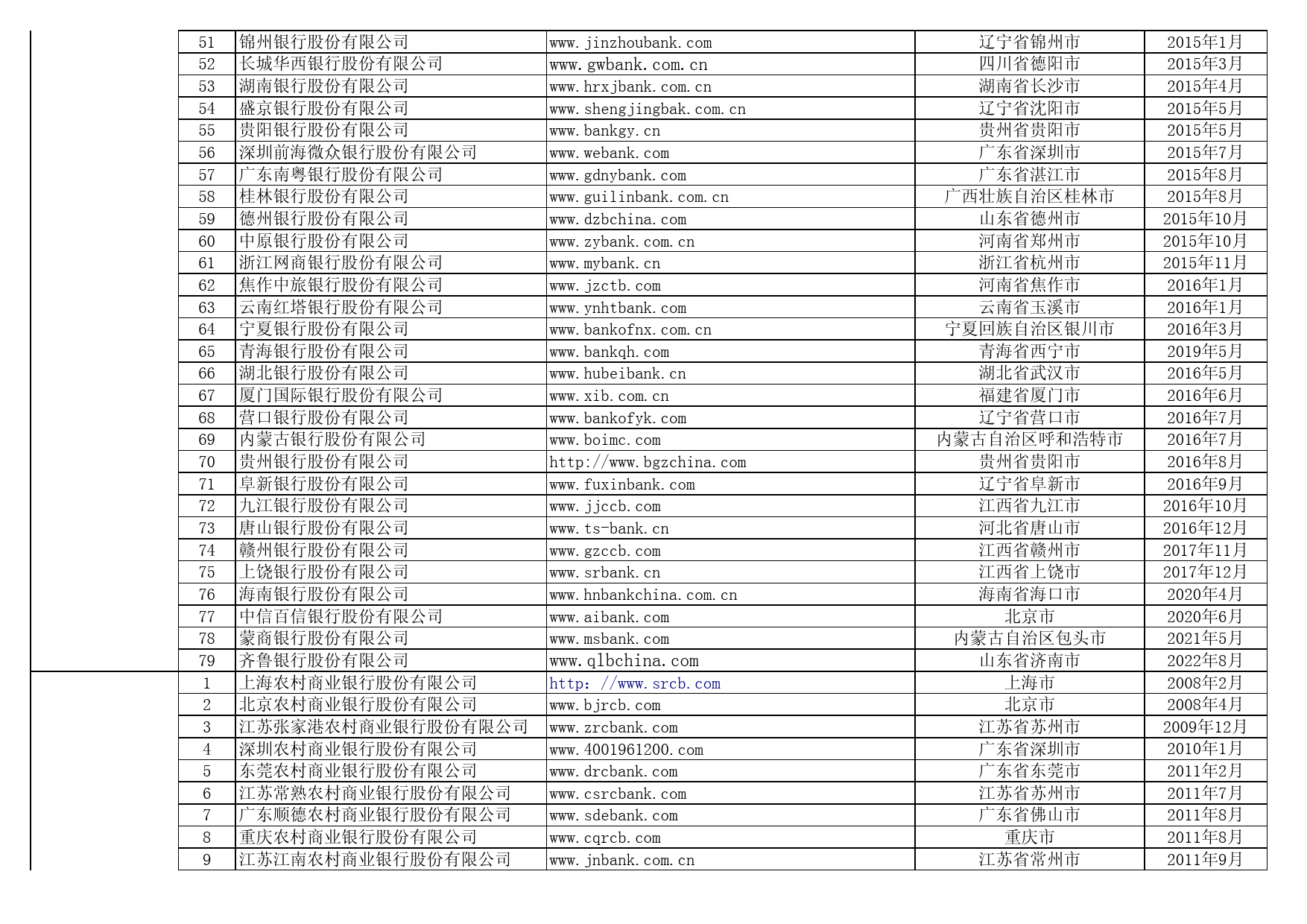
类别编号机构名称注册地核准时间1中国建设银行股份有限公司北京市2交通银行股份有限公司上海市3中国工商银行股份有限公司北京市4中国银行股份有限公司北京市5中国农业银行股份有限公司北京市6招商银行股份有限公...

1、当您付费下载文档后,您只拥有了使用权限,并不意味着购买了版权,文档只能用于自身使用,不得用于其他商业用途(如 [转卖]进行直接盈利或[编辑后售卖]进行间接盈利)。
2、本站所有内容均由合作方或网友上传,本站不对文档的完整性、权威性及其观点立场正确性做任何保证或承诺!文档内容仅供研究参考,付费前请自行鉴别。
3、如文档内容存在违规,或者侵犯商业秘密、侵犯著作权等,请点击“违规举报”。

碎片内容

公开募集证券投资基金销售机构名录(2023年9月)

您可能关注的文档

gc2011+ 关注
实名认证
内容提供者

gc2011

确认删除?
回到顶部