电脑桌面
添加雲尚書房到电脑桌面
安装后可以在桌面快捷访问

广东统计年鉴2023 22-6续表1

广东统计年鉴2023 22-6续表1_第1页
1/1
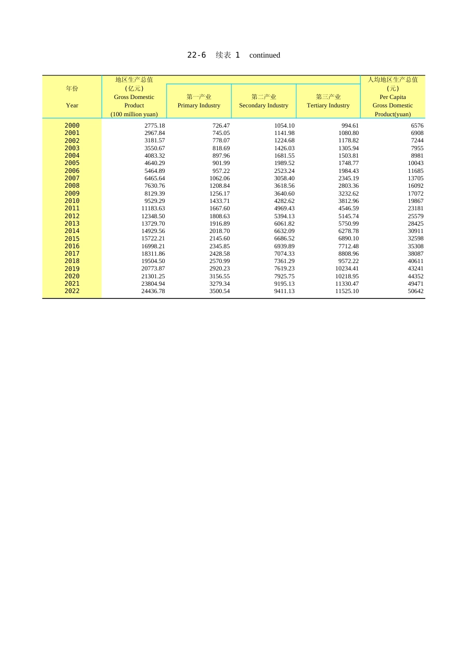
地区生产总值人均地区生产总值年份GrossDomestic第一产业第二产业第三产业PerCapitaYearProductPrimaryIndustrySecondaryIndustryTertiaryIndustryGrossDomestic(100millionyuan)Product(yuan)20002775.18726.471...

1、当您付费下载文档后,您只拥有了使用权限,并不意味着购买了版权,文档只能用于自身使用,不得用于其他商业用途(如 [转卖]进行直接盈利或[编辑后售卖]进行间接盈利)。
2、本站所有内容均由合作方或网友上传,本站不对文档的完整性、权威性及其观点立场正确性做任何保证或承诺!文档内容仅供研究参考,付费前请自行鉴别。
3、如文档内容存在违规,或者侵犯商业秘密、侵犯著作权等,请点击“违规举报”。

碎片内容

广东统计年鉴2023 22-6续表1

发表评论取消回复

参与评论可获取积分奖励  
年鉴书院+ 关注
实名认证
内容提供者

年鉴书院汇集各类年鉴,方便检索。

确认删除?
回到顶部