电脑桌面
添加雲尚書房到电脑桌面
安装后可以在桌面快捷访问

广东统计年鉴2023 22-6续表3

广东统计年鉴2023 22-6续表3_第1页
1/1
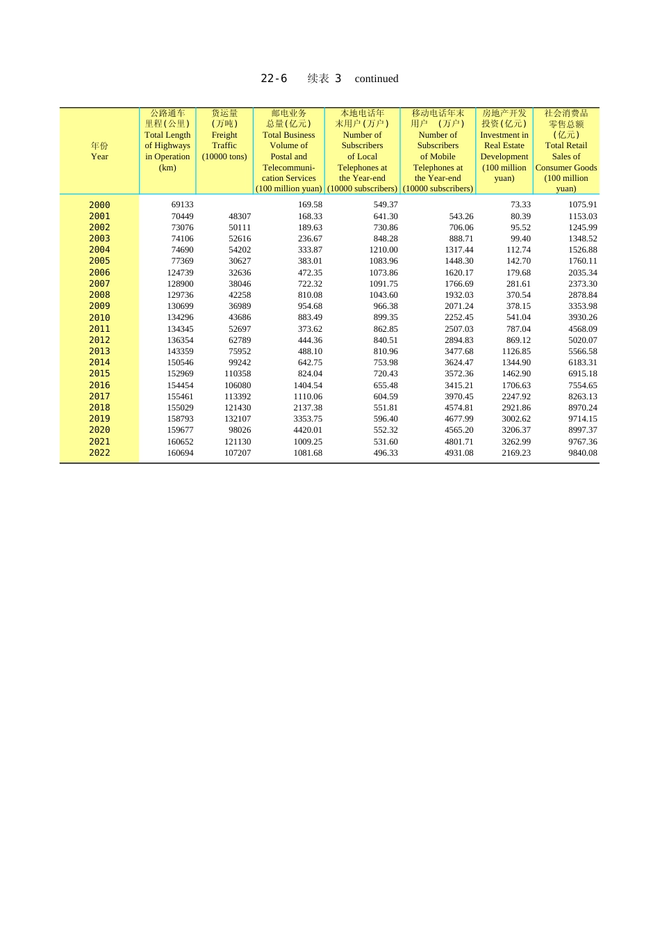
公路通车货运量邮电业务本地电话年移动电话年末房地产开发社会消费品零售总额TotalLengthFreightTotalBusinessNumberofNumberofInvestmentin年份ofHighwaysTrafficVolumeofSubscribersSubscribersRealEstateTotal...

1、当您付费下载文档后,您只拥有了使用权限,并不意味着购买了版权,文档只能用于自身使用,不得用于其他商业用途(如 [转卖]进行直接盈利或[编辑后售卖]进行间接盈利)。
2、本站所有内容均由合作方或网友上传,本站不对文档的完整性、权威性及其观点立场正确性做任何保证或承诺!文档内容仅供研究参考,付费前请自行鉴别。
3、如文档内容存在违规,或者侵犯商业秘密、侵犯著作权等,请点击“违规举报”。

碎片内容

广东统计年鉴2023 22-6续表3

发表评论取消回复

参与评论可获取积分奖励  
年鉴书院+ 关注
实名认证
内容提供者

年鉴书院汇集各类年鉴,方便检索。

确认删除?
回到顶部