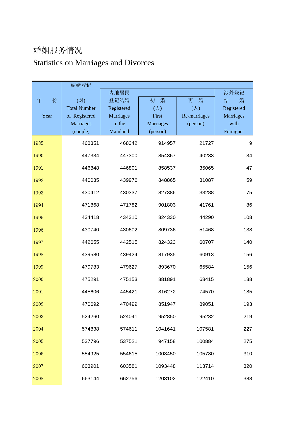
婚姻服务情况StatisticsonMarriagesandDivorces结婚登记内地居民涉外登记登记结婚TotalNumberRegisteredRegisteredYearofRegisteredMarriagesFirstRe-marriagesMarriagesMarriagesintheMarriages(person)with(cou...
OperatingStatisticsofEnterprisesforRealEstateDevelopment项目Item200020052006本年购置土地面积LandSpacePurchasedThisyear(10000sq.m)503.892015.821561.89本年完成开发土地面积LandSpaceDevelopedThisyear(1...
DepositsandLoansofUrbanCommercialBanks(Year-end)单位:亿元项目Item2008绝对数AbsoluteValue资金来源总计AllSources1089.42各项存款Deposits991.09企业存款DepositsofEnterprises353.67储蓄存款SavingsDeposit...
DepositsandLoansofUrbanCommercialBanks(2010)单位:亿元项目Item年末余额绝对数AbsoluteValue资金来源总计AllSources2626.87各项存款Deposits2267.99企业存款DepositsofEnterprises712.06储蓄存款SavingsDeposi...
DepositsandLoansofUrbanCommercialBanks(2011)单位:亿元(1项目Item年末余额绝对数AbsoluteValue资金来源总计AllSources3517.88各项存款Deposits2876.81单位存款Unitdeposit1530.29个人存款Individualdeposit133...
DepositsandLoansofUrbanCommercialBanks(2012)单位:亿元Item年末余额绝对数AbsoluteValue资金来源总计AllSources4899.85各项存款Deposits3797.89单位存款Unitdeposit1958.13个人存款Individualdeposit1816.81临...
DepositsandLoansofUrbanCommercialBanks(2013)单位:亿元Item年末余额绝对数AbsoluteValue资金来源总计AllSources6523.68各项存款Deposits4976.13单位存款Unitdeposit2474.00个人存款Individualdeposit2478.11临...
PriceIndicesofInvestmentinFixedAssetsbyRegion(Preceding地区Region全国TotalNational102.2105.6101.6101.5103.9108.9北京Beijing102.2104.3100.7100.4102.8107.8天津Tianjin102.6107.3101.2100.7102.6109.2河...
PopulationattheYear-end(2011)市州Cities(万户)Total男女城镇人口andHouseholdsPopulationPrefecture(10000(10000MaleFemaleUrbanhouseholds)persons)全省Total2005.516595.603402.103193.502974.62长沙市Chan...
行业名称总计1303181286214215294495179248946727煤炭开采和洗选业478745021506761842261石油和天然气开采业2448227582205979562547黑色金属矿采选业36036028143013有色金属矿采选业92592576573714104非金属矿采...
项目单位数注册资本年末资产固定资产(个)合计总计原价总计1462147238105039445317615#国家重点联系企业1263913839514352671773一、按企业改制主管部门分国家经贸委344977525824052205794国家体改委省经贸委172...
项目单位数注册资本年末资产固定资产累计(个)合计总计原价折旧总计21635366942338858169204321949484#国家重点联系企业1269884942605362269750706186一、按企业改制主管部门分国家经贸委344697524711151660109...
项目单位数注册资本年末资产固定资产累计(个)合计总计原价折旧总计29043984773202827271956482172013一、按控股情况分1212749053253025784692487147017688220357522342488407606612834213354547829600906164211...
MainFinancialRatiosofEnterprisesEstablishingModernEnterpriseSystem,2003(%)项目Item资产营业收入成本费用负债率利润率利润率总计Total84.28.18.9一、按控股情况分GroupedbyShareHeld国有及国有控股State-owne...
MainFinancialRatiosofEnterprisesEstablishingModernEnterpriseSystem,2005项目Item资产营业收入成本费用负债率利润率利润率合计Total88.85.05.3一、按控股情况分GroupedbyShareHeld国有及国有控股State-ownedan...
单位:万元地区200420052006200720082009总计224537345431286194138007155763128692福州市277093441641419317894210215197厦门市225565063350621416192675582莆田市14311679167208233716128三明市201242897814076...
单位:吨项目二氧化硫排放量氮氧化物排放量工业城镇生活集中式治理设施工业全省3712513523891885112467210360879福州市77536762551279110770686538厦门市197651927648633427312664莆田市151211372014012994525140三明市5152748168335544613639293泉州市103768100569319919785379176漳州市28408276287794718836689南平市235522081827322176039842龙岩市3333...
项目工业全省115.86948.91389167.32370268.52福州市6.844059.1792546.0591320.05厦门市2.712110.211959419108莆田市10.35.315212.7913892.78三明市19356.449472.3946238.48泉州市22.14417102512.9999210.06漳州市5.7330083.0829303.8南平市16.360.8325717.6522785.94龙岩市2634939.4230519.42宁德市6.6819037.9517844.95平潭综合实验区0.045145.05生活煤炭...
单位:吨项目二氧化硫排放量氮氧化物排放量工业城镇生活集中式治理设施全省3610033420401895013438344福州市77324760431279194124厦门市1926118772486332968莆田市1262811227140130254三明市49846463863456446448泉州市93818906153199488611漳州市369363615677951987南平市21856191232732116522龙岩市3314728726442057156宁德市1613814945119320256平潭综...
BASICCONDITIONSABOUTEXPENDITURESONCULTUREANDHISTORICALRELICSANDITSCONDTRUCTION单位:万元项目Item199020002005200720082009文化、文物事业经费TotalExpendituresonCulture109234307980952129905156358198651支出总计andHistoricalRelics文化事业Culture99083325666111100548123434161906艺术表演团体ArtPerformingGroups2774980819185280233087335968...
河南统计年鉴2016_ 2602114页
GB_T 25499-2010 城市污水再生利用 绿地灌溉水质379页
[推荐国标] GB_T 20977-2007 糕点通则79610页
[推荐国标] GB_T 10781.1-2021 白酒质量要求 第1部分:浓香型白酒122813页
云南经济普查年鉴2013_ C-D2-B-08-1501页
