NUMBEROFENTRANCETOURISTS(person-times)年份总计港澳台同胞外国人CompatroitsYearTotalForeignersfromHongkong,fromHongkong,fromTaiwanMacoandTaiwanMacao1982197751512646491983242001890352971984538004049613304198584598681031649519861053008357021730198712239082029403611988113051782063484519725151201989817814951132270139081836219901557343...
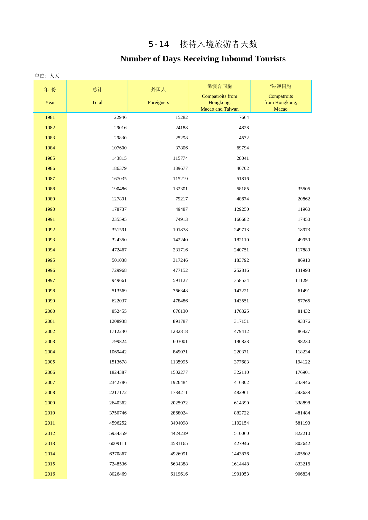
NumberofDaysReceivingInboundTourists单位:人天港澳台同胞年份总计外国人CompatroitsfromYearTotalForeignersHongkong,fromHongkong,MacoandTaiwanMacao198122946152827664198229016241884828198329830252984532198410760037806697941985143815115774280411986186379139677467021987167035115219518161988190486132301581853550519891278917921748674208...
NumberofEntranceTourists(person-times)年份总计港澳台同胞外国人CompatroitsYearTotalForeignersfromHongkong,fromHongkong,fromTaiwanMacoandTaiwanMacao1982197751512646491983242001890352971984538004049613304198584598681031649519861053008357021730198712239082029403611988113051782063484519725151201989817814951132270139081836219901557343...
NumberofEntranceTouristsCompatroitsCompatroitsYearTotalForeignersfromHongkong,fromHongkong,MacaoandTaiwanMacao1982197751512646491983242001890352971984538004049613304198584598681031649519861053008357021730198712239082029403611988113051782063484519725198981781495113227013908199015573436374119360115601991170121530551170661264519922...
NumberofDaysReceivingInboundTouristsCompatroitsfromCompatroitsYearTotalForeignersHongkong,fromHongkong,MacaoandTaiwanMacao1981229461528276641982290162418848281983298302529845321984107600378066979419851438151157742804119861863791396774670219871670351152195181619881904861323015818535505198912789179217486742086219901787374948712925...
项目20112010接待量接待量接待住宿人数2111.1100.02125.4100.0国内住宿者1799.685.251786.484.05外国人272.612.91298.614.05香港同胞24.61.1725.01.17澳门同胞0.60.030.70.03台湾同胞13.60.6514.70.69接待住宿人天数4119.6100.04173.5100.0国内住宿者3361.381.593377.980.94外国人666.716.18703.416.85香港同胞56.51.3757.21.37澳门同胞2.00.051.90.05台湾...
年份企业接待国内居民个数人数人数出境人数199032.554.71991-1995355.6451.7199153.369.1199261.2100.7199371.3103.6199484.191.01.0199510085.787.41.21996-2000487.1417.537.9199610588.078.62.7199711087.376.03.8199813185.069.06.61999120103.192.911.12000127123.7101.013.72001-2005986.2919.6185.42001140143.4130.121.92002151179.4176.328.52003...
单位:万人次项目20112010接待量接待量接待住宿人数2111.1100.02125.4100.0五星级524.324.8464.621.9四星级589.027.9603.528.4三星级704.233.4692.032.6二星级278.313.2346.616.3一星级15.40.718.70.9接待入境住宿人数311.5100.0338.9100.0五星级167.753.9161.647.7四星级104.833.6119.535.3三星级29.09.347.814.1二星级9.83.19.92.9一星级0.20.10.20.116-...
年份企业接待住宿接待住宿出租率个数人数人天数(%)1995191484.61843.4671996-20003168.110110.01996207485.31691.6631997235541.81801.4591998262605.01867.7551999263681.51918.6572000294854.52830.6612001-20055931.514152.920013631038.53191.76220023901071.22437.66220034411007.42497.25220044641270.82798.96520055941543.63227.5622006-20108761....
广东拓斯达科技股份有限公司特定对象来访接待制度第一章总则第一条为贯彻证券市场公开、公平、公正原则,规范广东拓斯达科技股份有限公司(“公司”)对外接待行为,加强公司对外接待及与外界的交流和沟通,提高公司投资者关系管理水平,根据《中华人民共和国公司法》(以下简称《公司法》)《中华人民共和国证券法》(以下简称《证券法》)《上市公司信息...
200220032004日本262991223193348246韩国216004202786297199马来西亚9903381371151475美国9074575062129821新加坡698485725799754泰国488753298367780德国300672760855083意大利258302698244095法国285072238341136印度尼西亚223392400937798澳大利亚196282019034590英国208671992730685印度135691673830656菲律宾198171434528946加拿大229081971628742西...
200320042005日本223193348246422076韩国202786297199454544马来西亚81371151475177855美国75062129821176730新加坡5725799754108603泰国329836778078977德国276085508371959意大利269824409562354法国223834113655926印度尼西亚240093779842598澳大利亚201903459045936英国199273068543622印度167383065635691菲律宾143452894629125加拿大197162874240741...
200420052006日本348246422076529579韩国297199454544508447马来西亚151475177855163041美国129821176730214944新加坡99754108603112612泰国677807897789080德国550837195984217意大利440956235474959法国411365592666371印度尼西亚377984259848610澳大利亚345904593661168英国306854362257902印度306563569145222菲律宾289462912530491加拿大287424074156...
200520062007日本422076529579655671韩国454544508447614454马来西亚177855163041175444美国176730214944271406新加坡108603112612129356泰国7897789080100585德国7195984217100991意大利623547495997688法国559266637186619印度尼西亚425984861058673澳大利亚459366116875528英国436225790268323印度356914522260830菲律宾291253049138019加拿大407415679...
河南统计年鉴2016_ 2602114页
GB_T 25499-2010 城市污水再生利用 绿地灌溉水质379页
[推荐国标] GB_T 20977-2007 糕点通则79610页
[推荐国标] GB_T 10781.1-2021 白酒质量要求 第1部分:浓香型白酒122813页
云南经济普查年鉴2013_ C-D2-B-08-1501页
