LodgingFacilitiesofTouristHotelsbyCity(2022)客房床位五星级四星级三星级二星级一星级市别CityNumberof五星级NumberNumberHotelsPlatinum...
NumberofStudentEnrollmentinAdultEducationbyLevel(person)项目Item20022003全市全市Total市区县级市Total市区县级市成人高等教育HigherEducationforAdults183782183782218244218244RadioandTVUniversities20773...
StatisticsonStudentsLeavingoffSchoolsItem20032004全市全市Total市区县级市Total市区县级市高中SeniorSecondarySchoolsNumberofStudentsattheBeginningofPreceding1227621017742098813928711617323114AcademicY...
StatisticsonStudentsStudyingAbroad(person)项目Item外国及港澳来穗留学20042005合计Total1229817147AboveSpecializedSubject1118413885Note:GuangzhouMunicipalityPoliceBureauhascancelledthestatisticsonstud...
StatisticsonPrimaryEducation项目Item20052006PercentageofSchool-ageChildrenEnrolled(%)99.9099.9099.9099.8999.8899.94Numberof6-11School-ageChildren(person)821254655219166035826922661672165250Numberof...
StatisticsonPrimaryEducation项目Item20062007PercentageofSchool-ageChildrenEnrolled(%)99.8999.8899.94100.00100.00100.00Numberof6-11School-ageChildren(person)82692266167216525082915767215715700082603...
StatisticsonPrimaryEducation项目Item20082009PercentageofSchool-ageChildrenEnrolled(%)100.00100.00100.00100.00100.00100.00Numberof6-11School-ageChildren(person)81227367034614192778636366011712624681...
StatisticsonPrimaryEducation项目Item20112012PercentageofSchool-ageChildrenEnrolled(%)100.00100.00100.00100.00100.00100.00794323686592107731792376687698104678794323686592107731792376687698104678Perc...
行业项目(个)金额(万美元)总计170817361883438956444516517775农、林、牧、渔业57767492652238725526采掘业2551673168194544制造业113611411299253440217180255310电力、煤气及水的生产和供应业1253225019711...
111520051重庆铜梁红蝶锶业有限公司24752重庆烟草工业有限责任公司9562452重庆青山工业有限责任公司24483重庆长安铃木汽车股份有限公司4325053重庆长江依之密活塞工业有限公司23874重庆电力工业局3534754重庆德泉...
ScheduleofNationalA-GradeScenicSpotsinGuangxi(2015)NameAAAAA桂林漓江景区LijiangRiverScenicSpot桂林乐满地休闲世界LemandiWorldforLeisureofGuilinGuilinDuxiuPeak&ImperialCityScenicZone南宁青秀山风景旅...
NumberofFull-TimeTeachersbyEducationalBackgroundinSpecializedSecondarySchools(2003)单位:人学历EducationalBackground合计正高级副高级中级初级无职称TotalNotSeniorVice-SeniorMediumJuniorAppointed总计T...
NumberofFull-TimeTeachersbyEducationalBackgroundinSpecializedSecondarySchools(2004)单位:人学历EducationalBackground合计TotalSeniorVice-SeniorMediumJunior总计Total1084934254543823183博士Doctor11硕...
NumberofFull-TimeTeachersbyEducationalBackgroundinSpecializedSecondarySchools(2005)单位:人学历EducationalBackground合计TotalSeniorVice-SeniorMediumJunior总计Total1102052260044073051###博士Doctor11...
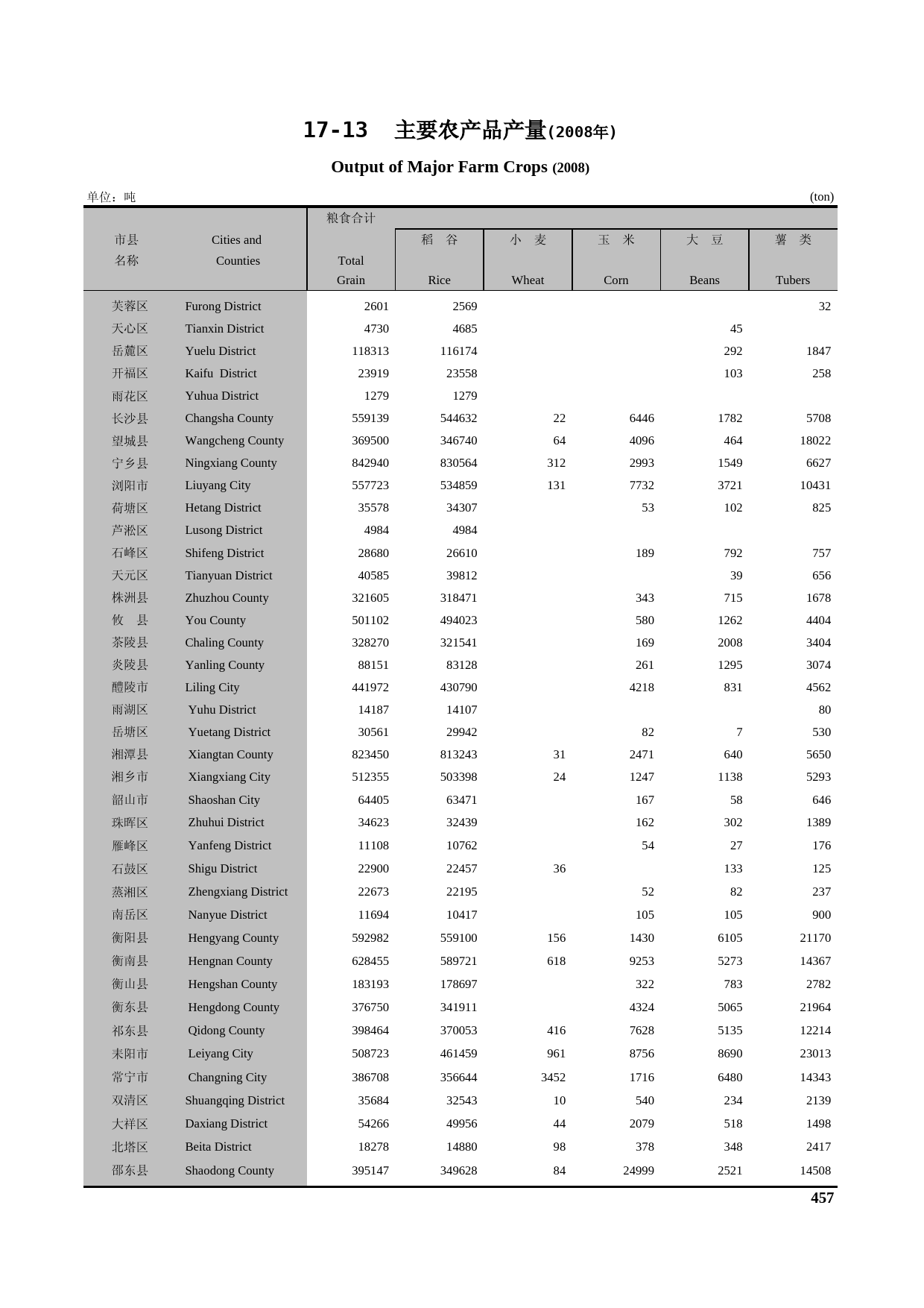
单位:吨(ton)粮食合计市县Citiesand名称CountiesTotalGrainRiceWheatCornBeansTubersFurongDistrict2601256932TianxinDistrict4730468545YueluDistrict1183131161742921847KaifuDistrict2391923558103258YuhuaDi...
NUMBEROFPROFESSIONALTRAINERSGAINEDTITLE单位:人(person)高级职称中级职称初级职称ItemTotalSeniorMiddleJuniorTotal53399216218Female16219647917-13专职教练员获职称人数情况项目合计总计#女性
NUMBEROFPROFESSIONALTRAINERSGAINEDTITLE单位:人(person)高级职称中级职称初级职称ItemTotalSeniorMiddleJuniorTotal52694212220Female16318648117-13专职教练员获职称人数情况项目合计总计#女性
CONCLUSIONOFTECHNICALCONTRACTSContractsConcludedAmountofContractsItem(item)(10000yuan)200420032004200335549321734251773.32653572.677387944896834.5744638.7239221221250130.5402370.550464202215178.113...
项目科技经费筹集额小计政府资金企业资金总计1629772.6156763.41165906.8一、按执行部门分科研院所150272.877566.314885.3高等院校37874.927814.46704.0企业1410367.240741.81138001.3其他31257.710640.96316.2二...
项目机构数专职兼职从业人员人员合计137701701015363066741国有企业6196405472447217772集体企业2575575041147223625私营企业185531263804712140有限责任公司7651550825824212股份有限公司40189478852863港澳台商...
河南统计年鉴2016_ 2602114页
GB_T 25499-2010 城市污水再生利用 绿地灌溉水质379页
[推荐国标] GB_T 20977-2007 糕点通则79610页
[推荐国标] GB_T 10781.1-2021 白酒质量要求 第1部分:浓香型白酒122813页
云南经济普查年鉴2013_ C-D2-B-08-1501页
