GrossDomesticProductbyCityatCountyLevel(10000yuan)项目Item2002200320022003地区生产总值GrossDomesticProduct181152020798788921281012444PrimaryIndustry2230522264309706084703SecondaryIndustry1082121128...
GrossDomesticProductbyCityatCountyLevel(2004)(10000yuan)项目Item地区生产总值GrossDomesticProduct2378494842211###PrimaryIndustry264969103982SecondaryIndustry1382858438546###Industry1263567389657Cons...
GrossDomesticProductandAnnualAverageGrowthSpeedinDifferentPeriod时期PeriodAbsoluteFigure(10000yuan)“六五”时期6thFive-yearPlanPeriod4373327459872239536221374822578801518093“七五”时期7thFive-year...
GrossDomesticProductbyCityatCountyLevel(2006)(10000yuan)项目Item地区生产总值GrossDomesticProduct32186241080156第一产业PrimaryIndustry299451130089第二产业SecondaryIndustry1862789529247工业Industry17...
IndicesofGrossDomesticProductinMainYears(PrecedingYear=100)1978110.3100.1108.5108.7105.0117.6108.81979113.4100.4107.5106.6132.2128.1110.81980115.4114.6119.0117.4154.8110.3113.21981108.6102.1114.111...
CompositionofGrossDomesticProductinMainYears1978100.0011.6758.5956.521979100.0010.5755.3353.161980100.0010.8554.5151.321981100.0010.1757.1752.591982100.0012.2356.1950.141983100.0010.9457.3151.13198...
地区本年实际到国家预国内贷款利用外资自筹资金位资金小计算资金全国总计584198.7630924.2861053.992854.45414802.39北京10417.23964.252360.4213.233759.31天津13073.71163.872209.88101.359075.92河北29108.451...
产品名称计量单位铁矿石原矿万吨152671.67铜金属含量万吨189.80铅金属含量万吨276.26锌金属含量万吨540.90锡金属含量万吨10.13锑金属含量万吨13.50吨137929.30吨292226.70万吨1738.50万吨12043.80原盐万吨7049.71...
产品名称计量单位铁矿石原矿万吨148636.41铜金属含量万吨179.74铅金属含量万吨313.49锌金属含量万吨526.01锡金属含量万吨13.85锑金属含量万吨11.94吨141716.86吨277289.64万吨1703.99万吨11139.40原盐万吨7367.60...
年份第一产业第二产业第三产业农业工业建筑业1978100.0100.0100.0100.0100.0100.0100.0100.0100.01979110.9108.5108.5111.2111.2111.3110.5110.4110.31980107.5104.6104.6108.9108.7110.0109.6105.2105.51981106....
单位:亿元金融机构部门净出口增加值4049.73209.1723.97劳动者报酬1106.38115.54528.060942.43112.65508.180163.952.8919.88生产税净额658.8922.342.79750.72693.9722.342.79806.1435.0855.42财产收入179.6348.31...
全省居民城乡消费农村居民城镇居民水平对比全省居民全省居民农村居民城镇居民农村居民1978165137402293.4103.7104.990.91001001979183153423276.599.4106.393.499.4106.31980199164460280.5119.9120.6119.5119.21...
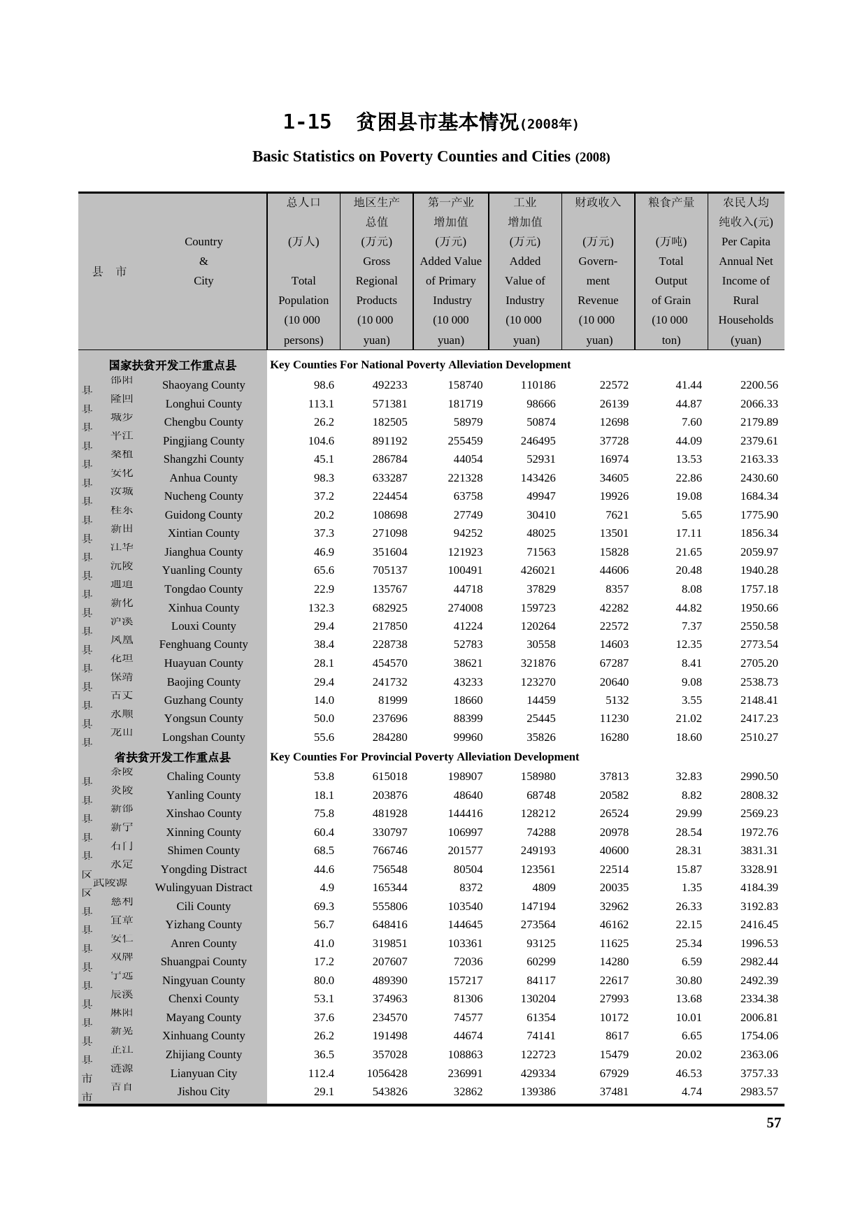
总人口地区生产第一产业工业财政收入粮食产量农民人均总值增加值增加值CountryPerCapita&GrossAddedValueAddedGovern-TotalAnnualNetCityTotalRegionalofPrimaryValueofmentOutputIncomeofPopulationProductsIndu...
县市总人口地区生产第一产业工业财政收入粮食产量农民人均增加值CountryPerCapita&GrossAddedValueAddedGovern-TotalAnnualNetCityTotalRegionalofPrimaryValueofmentOutputIncomeofPopulationProductsIndustryIn...
1-15第1页TOTALOUTPUT单位:万元20001999ItemTotal8026450070888300第一产业PrimaryIndustry19518001843400第二产业SecondaryIndustry3878350033691000Industry3085570026284500Construction79278007406500第三产...
1-15第1页TOTALOUTPUT单位:万元(10000yuan)20012000ItemTotal9608760080264500116.5第一产业PrimaryIndustry21407001951800110.8第二产业SecondaryIndustry4630190038783500119.6Industry3671980030855700119.7C...
1-15第1页LOCALFINANCIALEXPENDITURE绝对数(万元)ItemValue(10000yuan)20022001Total68397516149230一般预算财政支出GeneralBudgetaryFinancialExpenditure62834965591063CapitalConstruction643100929621Innov...
MAJORINDICATORSFORDISTRICTSANDCOUNTIES单位:万元GrossDomesticProductPrimaryindustrySecondaryIndustryItem20032002200320022003Dongcheng3294121.42940785.1112.0209961.1Xicheng3487500.03103931.0112.4418...
地区总计205363014165123806881567935201233089南京市195939142828288461326353503829玄武区14513111371859807326257秦淮区221501632733711444483345建邺区1109177701739872353238鼓楼区295532307335131576664464...
单位:个、人地区法人单位数单产业法人多产业法人总计56017553666823507639172207982337362483杭州市118528112764576413701742608991433289上城区72556699556952723612684446下城区11436106907461489631966312608...
河南统计年鉴2016_ 2602114页
GB_T 25499-2010 城市污水再生利用 绿地灌溉水质379页
[推荐国标] GB_T 20977-2007 糕点通则79610页
[推荐国标] GB_T 10781.1-2021 白酒质量要求 第1部分:浓香型白酒122813页
云南经济普查年鉴2013_ C-D2-B-08-1501页
