单位地区合计全国总计911514431238561781239922468980215352526552536227829935356268938220769712300384993834041308567256780393221246191651313469978661467157610574601631004346907180693140550534132211233...
地区合计本户劳动力雇工女女全国总计5973390759586136300164161477715024617380243027013182692113126581692053391190604719422919399453852232346739649061720844782077237996405724120796517722216578213655946...
地区家庭户从业劳动力合计雇主家庭帮工自营务工全国总计8439802018767559257837843583291635695110884723355665073171692022808226739620153734157311361070131513309452487565974262197130158073512464137497433...
地区合计在本村内村外乡内乡外县内市外省内全国总计84432892836486842729352311267073559786569561456480801562414284590920432023134198078812634157873863222931146973064996197041549643642394598087572704806...
单位:人地区合计全国总计84432892547778314302688210120241787480616223570569561436863810029201255334137075611327182023134114389307117483485494257400048311469717447057113774397077850156524559808738242...
单位:人地区合计未上学小学初中高中全国总计84432892119147053872213830867488275021056956143536971944790310272028318120231341184398048841011155847893114697299702126308013873191520895980871846422665332...
单位:人地区合计整劳动力半劳动力全国总计8443289269852112145807801537900569561448268908687248080920231341701411321723302703114697268340943128849091598087529073690141028113751051252188122917338114793...
单位:指标合计农作物种植业林业畜牧业渔业全国总计84432892801574965129063573903876925695614551037324637152918296120231341968951908543523249311469728353744744270235902598087563007976022974111113751051...
单位:人地区农业从业人员住户农业从业人员全国总计85443750844328921010858573981556956144420120381212023134149873149856311469735159630185598087320981553536137510517843148472884793906533823235684317581...
单位:人指标合计男女全国总计8443289240522255439106375695614265741930381952023134971845105128931146971577807153689059808731708928099813751057192196558864793906214703526468713175812146896117068518516...
地区合计企业事业机关社会团体全国总计43850780824151216212434145443652692341035287634911238198864435626286310143100848241361924518051026362601723358107573291840688754125642507091578333232312717616237...
地区合计国有集体内资私营内资合作、合资全国总计4374224494715835025716414556216363388331035588108205134123389511610210762351143353396577736616724511058616326280172310393421071131837818360411169423213...
单位:个地区合计单产业法人单位数全国总计5866923764200864844336777810922877481434462776656387239115665435443731237121428461068655474967611646282276514853741187712502458108486957916212015445058643105...
地区全国总计43016997585572880427484411970051092138838614292574236535633551113325174243731792065284647978394746248843662612015280374116744552458113675576228227215442744446310539318204494452173261982...
地区合计农作物种植业林业畜牧业全国总计430221214017131111299771615702288042727049276114611137111970051143045225973077713887931228014222701363462574232430661405121585633555179276224123732517423111607...
单位地区合计农作物种植业林业畜牧业渔业全国总计5866998611474561952538484435428714005010921342332101514342332871723565615317168141156355136116274373407978279667284668157130624747495777311975278628222...
单位:人地区合计初级中级高级全国总计63173481181339916562352358287645014318247531840523585403642880229749093142992837612584160617758221935775374025151041039513223720429472601029536382546141229510512...
单位:人地区合计初级中级高级全国总计44071280261278732589141292123146327312211437414923721235542345521331083239139179151783122978833510697722231601282931286745169978371491148131214227864225191224526...
单位:人地区合计村内农业生产经营单位全国总计107244631734407132623591851828235913182738201405241496335288034552820142913912070841122911922977375771601532512814074109977182374811587286217795312242204...
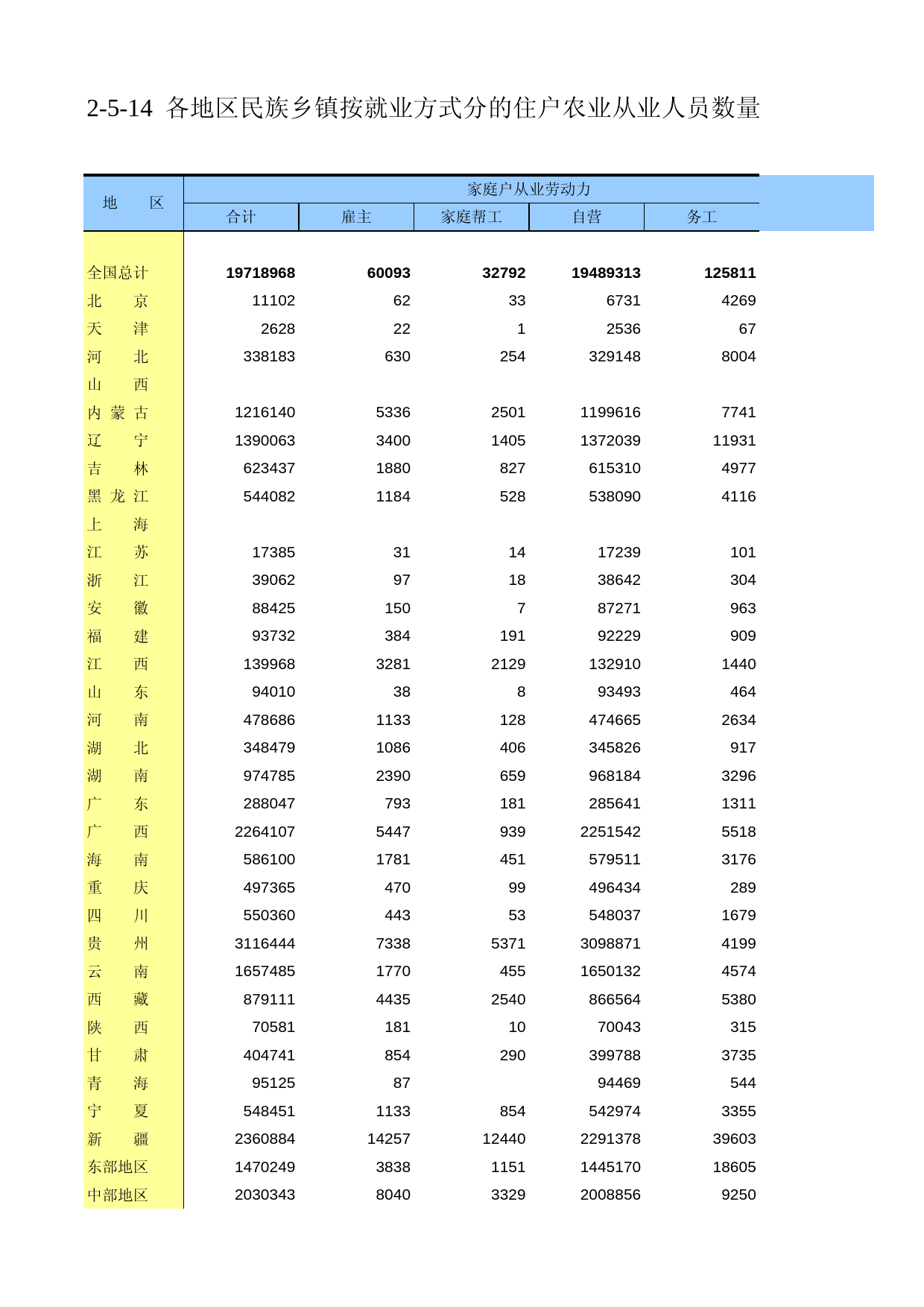
地区家庭户从业劳动力合计雇主家庭帮工自营务工全国总计1971896860093327921948931312581111102623367314269262822125366733818363025432914880041216140533625011199616774113900633400140513720391193162343718...
河南统计年鉴2016_ 2602114页
GB_T 25499-2010 城市污水再生利用 绿地灌溉水质379页
[推荐国标] GB_T 20977-2007 糕点通则79610页
[推荐国标] GB_T 10781.1-2021 白酒质量要求 第1部分:浓香型白酒122813页
云南经济普查年鉴2013_ C-D2-B-08-1501页
