BasicStatisticsonScienceandTechnologyActivitiesofIndustrialEnterprisesaboveDesignatedsize指标Item202020212022企业基本情况Statistic...
FirstTrialCriminalCasesAcceptedandSettledbyCourts(2009-2010)单位:件(case)CategoryofCasesAcceptedCasesSettledCases2009201020092010合计Total21672209421997221964#自诉案件PrivateProsecution3522212382...
单位:件CategoryofCasesAcceptedCases20122013民事一审案件FirstTrialofCivilCases244276263766婚姻家庭纠纷案件DisputesofMarriagesandFamilyAffairs4630546277继承纠纷案件DisputesofInheritance49197857合同...
单位:件CategoryofCasesAcceptedCases20132014民事一审案件FirstTrialofCivilCases263766280150婚姻家庭纠纷案件DisputesofMarriagesandFamilyAffairs4627745833继承纠纷案件DisputesofInheritance785710044合同...
单位:件CategoryofCasesAcceptedCases2014民事一审案件FirstTrialofCivilCases280150婚姻家庭纠纷案件DisputesofMarriagesandFamilyAffairs45833继承纠纷案件DisputesofInheritance10044合同纠纷案件DisputesofC...
BasicStatisticsofBooks,Newspaper&MagazinesinMainYearsItem199520002005图书Books种数(种)269427393500印数(万册)253972369118818印张(千印张)103117311539431331175报纸Newspapers种数(种)666050印数...
BasicStatisticsofBooks,Newspaper&MagazinesinMainYearsItem199520002005图书Books种数(种)269427393500印数(万册)253972369118818印张(千印张)103117311539431331175报纸Newspapers种数(种)666050印数...
BasicStatisticsofBooks,Newspaper&MagazinesinMainYearsItem199520002005图书Books种数(种)269427393500印数(万册)253972369118818印张(千印张)103117311539431331175报纸Newspapers种数(种)666050印数...
570ResultsofSamplingCheckonTheQualityofProductsandCommoditiesunderSupervision(2003)项目Item产品质量商品质量ProductQualityCommodityQuality监督检查有不合格产品检查产品检查商业检查商品企业数企业所占比...
ResultsofSamplingCheckonTheQualityofProductsunderSupervision(2004)项目Item监督检查有不合格产品检查产品企业数企业所占比例合格率(个)(%)NumberofProportionofCheckofRateofEnterprisesEnterprisesProduct...
FloorSpaceofBuildingandValueofRealEstateDevelopment(2012)市州施工房屋面积房屋建筑面积CitiesandPrefecture全省Total2135688694457965720.9长沙市Changsha736166741402267819.0株洲市Zhuzhou1972485727514351...
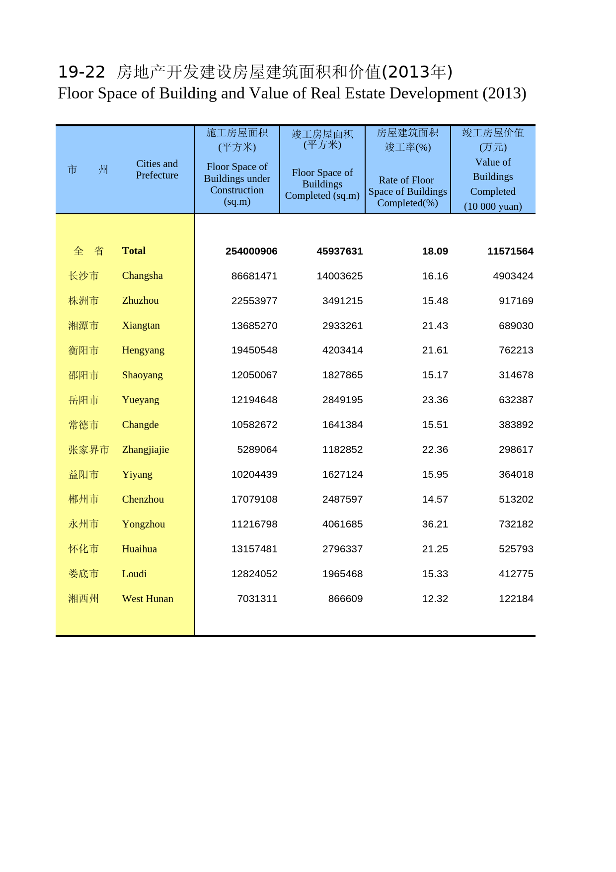
FloorSpaceofBuildingandValueofRealEstateDevelopment(2013)施工房屋面积房屋建筑面积竣工房屋价值ValueofBuildingsCompleted(10000yuan)全省Total2540009064593763118.0911571564长沙市Changsha866814711400362...
STATISTICSFORAUTHORITYEDAND单位:件(case)CasesCasesAcceptedClosedJudgmentMediationTotal3646335484158065461所有权及与所有权相关150311467162212097票据、证券权益纠纷BillandNegotiable30530110170Securit...
单位:亿元(100millionyuan)州市县Region资产总计负债总计所有者权益总计主营业务收入利润总额利税总额TotalAssetsTotalLiabilitiesTotalOwners'RevenuefromTotalProfitsTotalTaxesEquitiesPrincipalBusinessandProfits楚雄州Chuxiong398.28217.99193.60342.1723.9182.29楚雄市Chuxiong197.26100.62110.21167.8711.6162.88双柏县Shuangbo6.724.941.798.2...
PrincipalFinancialIndicatorsofIndustrialEnterprisesofAnnualRevenueover5MillionYuanfromPrincipalBusinesswithIndependentAccountingSystemsbyRegion(2011)单位:亿元(100millionyuan)州市县Region资产总计负债总计所有者权益总计主营业务收入利润总额利税总额TotalAssetsTotalLiabilitiesTotalOwners'RevenuefromTotalProfitsTotalTaxesEquitiesPri...
单位:亿元(100millionyuan)州市县Region资产总计负债总计所有者权益总计主营业务收入利润总额利税总额TotalAssetsTotalLiabilitiesTotalOwners'RevenuefromTotalProfitsTotalTaxesEquitiesPrincipalBusinessandProfits大理州Dali596.56371.35225.20395.8950.3793.09大理市Dali204.90106.8298.08183.5820.6153.81漾濞县Yangbi20.9910.8210.178.750.711.1...
单位:亿元(100millionyuan)州市县Region资产总计负债总计所有者权益总计主营业务收入利润总额利税总额TotalAssetsTotalLiabilitiesTotalOwners'RevenuefromTotalProfitsTotalTaxesEquitiesPrincipalBusinessandProfits保山市Baoshan377.71258.63119.08142.9917.3528.87隆阳区Longyang177.51121.9155.6049.493.577.86施甸县Shidian13.266.187.089.942.10...
OutputofMajorIndustrialProductsbyRegion(2012)州市县Region原煤发电量农用化肥白酒啤酒糖水泥CoalElectricityChemicalLiquorBeerSugarCement(10000tons)(100millionkwh)Fertilizer(10(10(10000tons)(10000tons)(10000tons)kiloliters)kiloliters)全省Yunnan7610.371533.94345.436497.5788643.62205.937793.66昆明市Kunming637.92546.16153.240.0030604.4...
州市县Region原煤发电量农用化肥白酒啤酒糖水泥CoalElectricityChemicalLiquorBeerSugarCement(10000tons)(100millionkwh)Fertilizer(10(10(10000tons)(10000tons)(10000tons)kiloliters)kiloliters)楚雄州Chuxiong123.0412.059.09179.7013482.900.00119.99楚雄市Chuxiong25.252.260.640.000.000.0083.35双柏县Shuangbo4.002.550.000.000.000.000.00牟定县...
州市县Region原煤发电量农用化肥白酒啤酒糖水泥CoalElectricityChemicalLiquorBeerSugarCement(10000tons)(100millionkwh)Fertilizer(10(10(10000tons)(10000tons)(10000tons)kiloliters)kiloliters)大理州Dali83.3922.990.00334.1020673.100.541077.25大理市Dali0.003.530.000.0020673.100.00450.84漾濞县Yangbi0.004.490.000.000.000.000.00祥云县Xiangy...
河南统计年鉴2016_ 2602114页
GB_T 25499-2010 城市污水再生利用 绿地灌溉水质379页
[推荐国标] GB_T 20977-2007 糕点通则79610页
[推荐国标] GB_T 10781.1-2021 白酒质量要求 第1部分:浓香型白酒122813页
云南经济普查年鉴2013_ C-D2-B-08-1501页
