NumberofEmployedPersonsatYear-endbyTypeofIndustry1957400.6347.421.132.186.725.271965476.8379.745.351.879.649.501970524.4405.263.655.677.2712.131975607.5441.695.570.472.6915.721978652.8438.0120.594....
NumberofEmployedPersonsatYear-endbyTypeofIndustry1965476.8379.745.351.879.649.5010.861970524.4405.263.655.677.2712.1310.601975607.5441.695.570.472.6915.7211.591978652.8438.0120.594.367.1018.4514.45...
NumberofEmployedPersonsatYear-endbyTypeofIndustry1965476.8379.745.351.879.641970524.4405.263.655.677.271975607.5441.695.570.472.691978652.8438.0120.594.367.101980698.4460.7129.7108.065.971981731.24...
EnergyConsumptionofEnterprisesaboveDesignatedSizebySector(2012-2013)工业消费总量采矿业#煤炭开采和洗选业石油和天然气开采业黑色金属矿采选业有色金属矿采选业非金属矿采选业制造业农副食品加工业食品制造...
EnergyConsumptionofEnterprisesaboveDesignatedSizebySector(2013-2014)工业消费总量采矿业#煤炭开采和洗选业石油和天然气开采业黑色金属矿采选业有色金属矿采选业非金属矿采选业制造业农副食品加工业食品制造...
EnergyConsumptionofEnterprisesaboveDesignatedSizebySector(2014-2015)Sector2014201520142015201420152014工业消费总量TotalIndustryConsumption536059825228343122114802048783971871284513823采矿业Mining22...
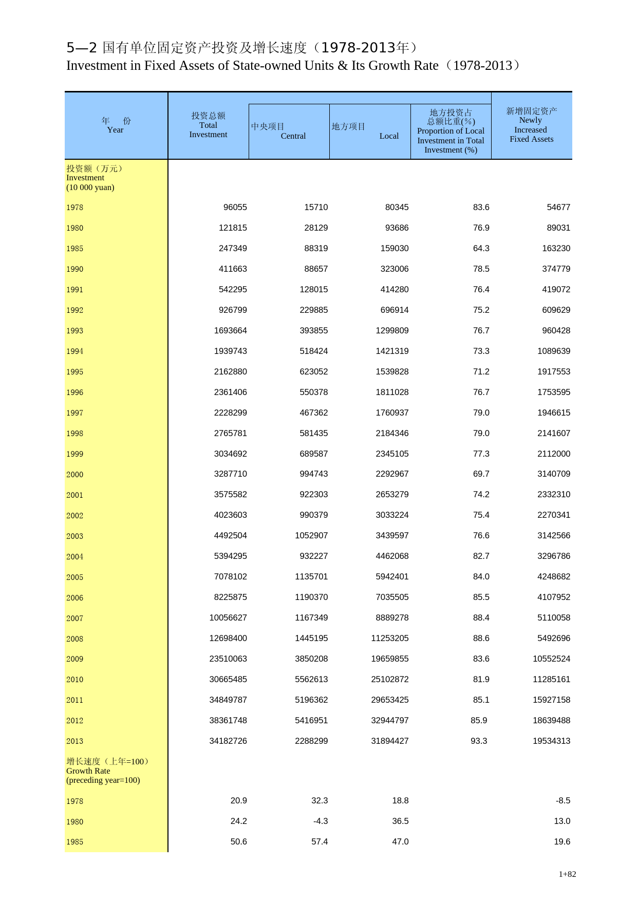
197896055157108034583.61980121815281299368676.919852473498831915903064.319904116638865732300678.5199154229512801541428076.4199292679922988569691475.219931693664393855129980976.719941939743518424142...
1+82197896055157108034583.6546771980121815281299368676.98903119852473498831915903064.316323019904116638865732300678.5374779199154229512801541428076.4419072199292679922988569691475.26096291993169366...
Retail&AgriculturalMeansofProductionPriceIndicesbyRegion(2015)Region全区平均AverageoftheWholeAutonomousRegion100.1102.4南宁市Nanning100.4101.2Liuzhou100.1103.7Guilin100.1103.1Wuzhou99.6102.6北海市B...
InvestmentinFixedAssetsItem20002005TotalInvestment(100millionyuan)1066.272563.96按经济类型分GroupedbyOwnership国有经济State-OwnedUnits574.121000.96集体经济Collective-OwnedUnits118.8094.89个体经济In...
InvestmentinFixedAssetsItem20002005TotalInvestment(100millionyuan)1066.272563.96按经济类型分GroupedbyOwnership国有经济State-OwnedUnits574.121000.96集体经济Collective-OwnedUnits118.8094.89个体经济In...
单位:元项目20122011农村居民人均纯收入144331290811.8工资性收入9150827810.5家庭经营收入215020186.5第一产业121211148.8第二产业7587-13.8第三产业8638175.6财产性收入87372420.6转移性收入2260188819.7农村...
项目20132012规划面积4680.04650.0累计征用土地面积4924.04924.02292.92187.92129.01993.74786.24328.5利润总额276.6212.1进出口总值211.8219.2出口110.3107.5进口101.5111.7公共财政预算收入100.380.5公共财政预...
CompositionofTotalInvestmentsinFixedAssetsfrom1978to20141978100.069.920.14.210.01979100.051.530.92.517.61980100.051.231.84.517.01981100.037.240.34.122.51982100.050.927.55.121.61983100.050.919.93.92...
EmploymentSource:ILODatabase.单位:万人(10000persons)国家或地区CountryorArea200020052009201020112012中国China720857464775828761057642076704中国香港HongKong,China321334347347358366中国澳门Macao,China202432323334孟加拉国Bangladesh517647365408文莱BruneiDarussalam14171919柬埔寨Cambodia528747767789印度India330203719937429印度尼西亚In...
5-2INVESTMENTINFIXEDASSETSANDITSINCREMENTALFIXEDBYURBANAREAANDRURALAREA(1985-2007)YearTotalInvestmentUrbanRealEstateRuralinFixedAssetsFixedAssetsDevelopmentInvestmentInvestment198594.077.814.61986-1990724.1634.922.576.51986106.294.510.41987136.2121.412.71988163.0138.721.31989139.5122.214.71990179.2158.122.517.41991-19952358.7218...
行业20142015合同项目实际使用金额合同项目总计237781195615626575其中:交通运输、仓储和邮政业376445559449信息传输、计算机服务和软件业9812755111311批发和零售业79789463409156住宿和餐饮业56765021611金融业9704182162003房地产业4463462611387租赁和商务服务业396312485884465科学研究、技术服务和地质勘查业16113254661970水利、环境和公共设施管...
EMPLOYMENTANDTOTALWAGESINURBANCOLLECTIVE-OWNEDUNRegion农、林、牧、渔业TotalAgriculture,Forestry,AnHusbandryandFishe年末人数工资总额平均工资年末人数Year-endTotalWagesAverageYear-endFiguresFemale(100...
EMPLOYMENTANDTOTALWAGESINURBANCOLLECTIVE-OWNEDUNRegion农、林、牧、渔业TotalAgriculture,Forestry,AnHusbandryandFisher年末人数工资总额平均工资年末人数Year-endTotalWagesAverageYear-endFiguresFemale(1000WageFigures(person)yuan)(yuan)(person)全国National536710317311642302658424274225727北京Beijing188413750418601703455004103天津Tianji...
河南统计年鉴2016_ 2602114页
GB_T 25499-2010 城市污水再生利用 绿地灌溉水质379页
[推荐国标] GB_T 20977-2007 糕点通则79610页
[推荐国标] GB_T 10781.1-2021 白酒质量要求 第1部分:浓香型白酒122813页
云南经济普查年鉴2013_ C-D2-B-08-1501页
