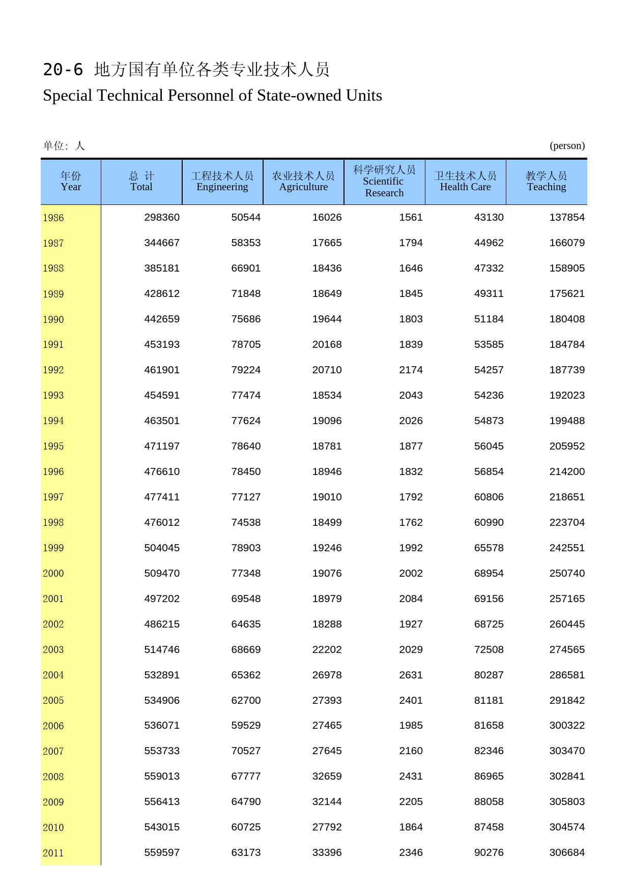
SpecialTechnicalPersonnelofState-ownedUnits(person)19862983605054416026156143130137854198734466758353176651794449621660791988385181669011843616464733215890519894286127184818649184549311175621199044...
SpecialTechnicalPersonnelofState-ownedUnits(person)19862983605054416026156143130137854198734466758353176651794449621660791988385181669011843616464733215890519894286127184818649184549311175621199044...
SpecialTechnicalPersonnelofState-ownedUnits(person)19862983605054416026156143130137854198734466758353176651794449621660791988385181669011843616464733215890519894286127184818649184549311175621199044...
年份项数(项)人数(人)次数(次)总计976597田径111111兵乓球331133举重111111射击111111柔道111111蹼泳20102020—6运动员分项获得世界冠军情况(2000年)#女子#女子#女子
ConstructionbyRegion(2013)Region全市Total2578#都市发达经济圈1327渝西经济走廊533718#一小时经济圈2038#都市功能核心区CoreMetropolitanFunctionArea597都市功能拓展区ExtendedMetropolitanFunctionArea730...
ConstructionbyRegion(2014)Region全市Total2591167.45#都市发达经济圈131964.03渝西经济走廊50237.4073563.25#一小时经济圈2044120.56#都市功能核心区CoreMetropolitanFunctionArea71030.44都市功能拓展区Ext...
ConstructionbyRegion(2015)Region全市Total2628#都市发达经济圈1299渝西经济走廊552三峡库区生态经济区777#一小时经济圈OneHourEconomicSphere2037#都市功能核心区CoreMetropolitanFunctionArea696都市功能拓...
388BasicStatisticsofAdoptingSocialWelfareUnits(2012)Item总计Total荣誉军人康复医院RecuperativeHospitalforSoldierswithHonour光荣院HomesforDisabledVeterans复退军人精神病院MentalHospitalsforDemobilized...
388BasicStatisticsofAdoptingSocialWelfareUnits(2013)Item总计Total1565荣誉军人康复医院RecuperativeHospitalforSoldierswithHonour2光荣院HomesforDisabledVeterans74复退军人精神病院MentalHospitalsforDemo...
Institutions&PersonsEngagedforMartyrs&SocialWelfareinMainYearsItemInstitutions(unit)一、收养性社会福利单位AdoptingSocialWelfareUnitsAdoptingUnitsforMartyrsAdoptingUnitsforWelfare二、优抚安置单位Adm...
TotalWageBillandAverageAnnualWageofEmployedStaffandWorkers(2012)在岗职工工资总额在岗职工年平均工资TotalAverageCitiesWagesofAnnual市县andStaffandWagesof名称CountiesWorkersUrbanStaffandontheState-Col...
TotalWageBillandAverageAnnualWageofEmployedStaffandWorkers(2013)市县名称在岗职工工资总额TotalWagesof经济StaffandWorkersUrbanontheState-CollectiveJobownedOwned(10000UnitsUnitsyuan)芙蓉区FurongDistri...
HISTORICALSOCIALWELFARETREATMENTSTANDARDINBEIJING(1997-2005)标准职工失业保险金城镇居民最低基本养老金Standard最低工资标准生活保障标准平均增加水平年份LowestWageCostofUrbanLowestAverageIncreasedYearof...
BasicStatisticsonFireAccidents(2014)ItemFireAccidents(case)29512Deaths(person)62Injuries(person)85DirectEconomicLosses(10000yuan)30029AverageLossofFire(yuan)1017520-6火灾事故情况(2014年)项目合计Tot...
20-6MAJORHEALTHINDICATIONSOFBEIJING(2000-2007)Item20002001200220032004InfantMortality5.366.015.565.894.61District6.296.265.575.914.51Country4.055.625.545.834.79NewbornBabyMortality3.704.053.703.833.49District4.264.163.653.563.42Country2.913.893.774.333.62Pregnant&Lying-inWomenMortality9.7011.7115.1215.615.19(1/100thousand)Distri...
单位:‰项目200020012002200320042005婴儿死亡率5.366.015.565.894.614.35区6.296.265.575.914.514.08县4.055.625.545.834.794.84新生儿死亡率3.704.053.703.833.493.29区4.264.163.653.563.423.03县2.913.893.774.333.623.799.7011.7115.1215.615.1915.91区7.1013.8516.246.9217.697.33县13.388.4513.2931.3510.6631.95甲乙类传染病发病率301.19276.8528...
河南统计年鉴2016_ 2602114页
GB_T 25499-2010 城市污水再生利用 绿地灌溉水质379页
[推荐国标] GB_T 20977-2007 糕点通则79610页
[推荐国标] GB_T 10781.1-2021 白酒质量要求 第1部分:浓香型白酒122813页
云南经济普查年鉴2013_ C-D2-B-08-1501页
