一、绝对数Absloutefigure199044.211.32557249.044.11771199548.336.47490447.9219.85066200039.754.813666579.6540.69655200137.860.415589616.6660.911049200235.466.218072625.6752.212110200333.365.919200686.8906.213809二、比上年Increaceoverprece-dingyear1995-1.019.021.26.726.811.62000-2.010.314.77.320.514.62001-4.810.214.26.422.214.4200...
一、绝对数Absloutefigure199027341752.9281.71607199565742265.3849.438572000120072891.31741.361422001136662992.71874.863732002180323181.62273.473642003176273412.72549.47732二、比上年Increaceoverprece-dingyear199519.05.926.621.120008.34.010.66.4200113.83.57.73.8200231.96.321.315.62003-2.27.212.15.011-10续表1continued退休人员Retiree...
退休、退职人数及人均离休、退休、退职费HISTORICFIGURESOFRETIREESANDTHEIRAVERAGEPENSION一、绝对数Absloutefigure19902270.6388.917131845.8307.1166419953065.51285.94311.2366.0915.6397620003848.02693.671372978.01846.6631820013989.93024.377173072.41988.5657320024196.03604.888073261.42417.2763320034496.74088.694073486.42866.27957二、比...
NUMBEROFRETIREESPAIDBYCIVILADMINISTRATIONDEPARTMENTS(2003)合计Total退休人员本年接收AdmittedRetireesThisYear全国National23579723579711507北京Beijing3748737487973天津Tianjin56865686100河北Hebei1328513285839山西Shanxi35203520185内蒙古InnerMongolia29282928118辽宁Liaoning2207422074509吉林Jilin50635063390黑龙江Heilongjiang25882588394...
HISTORICFIGURESOFPENSIONSFORRETIREES离休、退休、退职费用总额(亿元)平均每人离PensionsforRetirees休、退休、退(100millionyuan)职费用(元)年份合计企业事业机关AverageYearTotal民政部总后事Enter-Instit-StatePensions门支付业单位prisesutionsOrgansforRetireesCivilGeneral(yuan)AffairLogisticDepartmentDepartment一、绝对数Absloutefigure19...
(2003)单位:人(person)29022058102363379852520231439891014745445112934879525885331410270414448771399159649371892724812865637459105021958202716968210977724119725939766829101510852125981184628932773253624158308317441261181127384354751797210698224304613825514611639971511239152645719159103175158191226241091107478435171710763426698156...
单位:人16553476985120988544462926581901076424240612375330312431168612420614817495247210235511272017583972374236451514682196609751121921414338073376714343169775524927622539155366312360516853131217245992316813855541932201543571674567939228068044711511-5续表5continued地区Region2.港、澳、台投资企业HongKong,MacaoandTaiwanChinese-Fun...
RETIREESOFINSTITUTIONSATTHEYEAR-ENDBYREGION(2003)单位:人720051627403063325866785862228836121375131682128311126217768152391061743218691220092294229580917611361292153951579441560864859765281479943535621371412539432439420469185183151201868372878319909518729263781299145165428856128876948839817738121791462548282820122345897726866124...
单位:人1747577251933541689293186916027194310223247811665324653342155378321036718763603837943777768419291763219331100471777516147513263751458511025910184561047487180498226404848794817089543316347126364341688150245015510527324151289121061025322056163374141587361618794035474197245511415910013874979303303043130892291113515066127443...
单位:人6174638319357261894594659420295510835813341832131862691014991642180246193198942985273181229123154566302968117017630682528055561749638345402369800160802216034784567162815294520877911961721602016784746342624738314586995741303164714018557313245413123958873234704256057122317292424326315547664475124015170112985965763691126924...
单位:人4412766205971969748424075936643519567696613503229205161317105290033236981970195321224413247561117863223637170300593442564164986320268139809627531034956433260378015387586324461031080842003031141676222895296369534291253919680349624546552823732234554489661071574269520501034604699216239791457233672813445284361542727421094531...
单位:人2393637597671596008542294133286318344816520702824299600387279205948258424498933635578929437945275735992226754323986972433168811144198646302926182679580523153196173606882213430869823603786840157260450667346974149446113786737624061578313524671251362537401248671210046510828218938971848813168452023999819725656586408734149100...
(2003)单位:人4496679118720496140763042765144179563794449657999169047611063855393282167110708361910799710263904221784763115218537830271682106662278439026761227700745286326767915208711115933087924130011452188749526122732622857938082378693521539502545662140775134370247945930141971337249768072870492162370174047134266154590214054685...
RETIREESOFENTERPRISESATTHEYEAR-ENDBYREGION(2003)单位:人3486407015169954737059334590511465327768670318971389693940450451377122889158911429281551065402321360298885022295052360168389965510631992901177553046328055961357749677372674203104179942087426089996363187057867366750234178318722003791216809196932150719240188411334113585723047...
单位:人(person)34523779150204507324963312868566259814325737521993169713578344304287870744202112176854523120081419515547106400311350917285678839022945623599883789710007550249199043117655296618823278540813474096747226544396349710389144193022603299366019222186770767239350214178033937154215642111925011950921075352937723597831107791...
HISTORICFIGURESOFRETIREESOFENTERPRISESATTHEYEAR-END合计离休人员退休人员年份TotalTerminationRetireesYear一、绝对数(万人)Absolutefigure(10000persons)19952366.1100.72195.220002977.986.62821.620013072.479.72925.520023261.479.73116.020033486.473.73345.9IncreaseoverPrecedingyear(%)19955.70.16.220003.8-2.44.020013.2-8.03.720026.2-8.1...
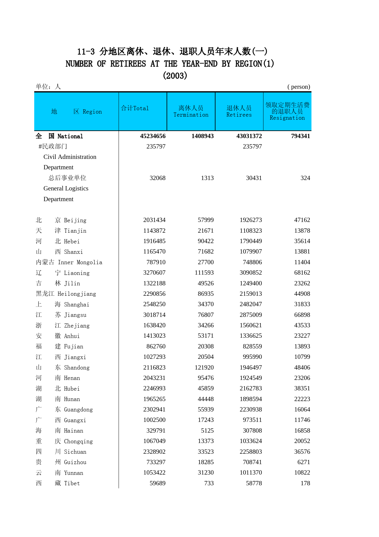
NUMBEROFRETIREESATTHEYEAR-ENDBYREGION(1)(2003)单位:人(person)45234656140894343031372794341235797235797CivilAdministrationDepartment总后事业单位32068131330431324GeneralLogisticsDepartment20314345799919262734716211438722167111083231387819164859042217904493561411654707168210799071388178791027700748806114043270607111593309085268162...
HISTORICFIGURESOFRETIREESATTHEYEAR-END合计离休人员退休人员领取定期TotalTerminationRetirees生活费的年份退职人员YearResignation一、绝对数(万人)Absolutefigure(10000persons)19851637.0112.01476.049.019902301.0182.02037.082.019953094.1199.52802.991.720003875.8169.73621.085.120014017.7158.73777.881.220024222.8152.93990.479.520034523....
LAOURANDSOCIALSECURITYINSPECTION(2003)110.77987.416.6117.2895.0602.527.214.937.28.8取缔非法清退风审查用纠正用人险抵押人单位单位违法金金额规章数(户)(万元)(万件)(万件)658511871.061.316.010-2劳动保障监察工作情况主动监察InspectiononInitiative群众举报专查结案数(万件)CasesSettledthroughInspectionuponReporting检查单位数(万户)...
CASESSETTLEDBYLABOURANDSOCIALSECURITYINSPECTIO单位:件结案数养老保险费征缴失业保险费征缴CasesSettledLevyofPensionInsurance2635674149015492女职工特殊劳动保护劳动合同的订立和解除SpecialProtectionforFemaleWorkersandEmployees211464264最低工资支付工作时间和休息、休假职业资格与职业培训7463119871089310-1劳动保障监察案件结案情况(2003)...
河南统计年鉴2016_ 2602114页
GB_T 25499-2010 城市污水再生利用 绿地灌溉水质379页
[推荐国标] GB_T 20977-2007 糕点通则79610页
[推荐国标] GB_T 10781.1-2021 白酒质量要求 第1部分:浓香型白酒122813页
云南经济普查年鉴2013_ C-D2-B-08-1501页
